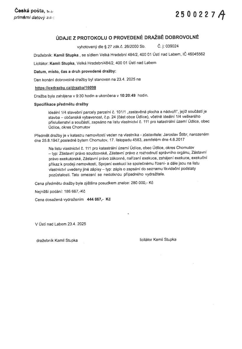
www.centralniadresa.cz – 07.12.2025 19:21 – announcement number 10969368DP01

Announcement is accessible in PDF format … (File size: 24884 B)

Click on the image to close the window.


Uveřejněná data na centrální adrese jsou určena pouze pro účely vlastní realizace veřejných dražeb, veřejných nabídek a ostatních veřejných zakázek dle platné legislativy.

Získaná data přímo ze stránek centrální adresy lze dále používat a šířit jen v bezplatném režimu.

Copyright © 2000- Česká pošta, s.p.  Všechna práva vyhrazena.