www.centralniadresa.cz – 15.12.2025 20:22 – announcement number 10969416NZ02

Announcement is accessible in PDF format … (File size: 121006 B)

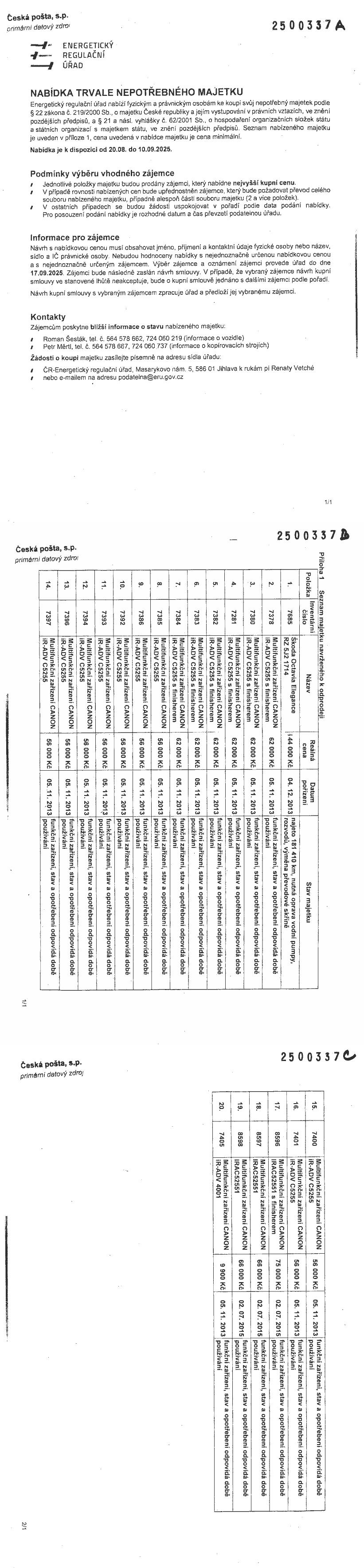
Click on the image to close the window.


Uveřejněná data na centrální adrese jsou určena pouze pro účely vlastní realizace veřejných dražeb, veřejných nabídek a ostatních veřejných zakázek dle platné legislativy.

Získaná data přímo ze stránek centrální adresy lze dále používat a šířit jen v bezplatném režimu.

Copyright © 2000- Česká pošta, s.p.  Všechna práva vyhrazena.